1. 峰值过大:

原因:滴定注射器中缓冲液与测量池内的不匹配。
校正措施:重新制备样品,确保滴定注射器和测量池内的缓冲液一致。
运行一份水滴水标准实验或CaCl2-EDTA实验,显示的结果正常,但是所有样本的峰值始终都比较大

原因:滴定注射器中有甲醇残留。
校正措施:彻底清洗和干燥滴定注射器和插管,确保没有甲醇残留在内。如果有任何残余的甲醇时,峰值会显示极热信号,当信号低于0时,每次注射后“反冲锋”是比较有代表性的。
2. 向下步进式基线

原因:(1)滴定注射器是空的或填充不够;(2)放入注射器填充口的小型填充口接头的尖端已经受损
校正措施:(1)重新填充滴定注射器,确保有充足的滴定量;(2)如填充口接头的尖端已受损,更换接头
3. 向上步进式基线

原因:(1)测量池弄脏了;(2)样本池填充不够
校正措施:(1)彻底清洗测量池,实验前做水对水滴定实验以确保测量池洁净;(2)重新填充样本池,保证足够的样品量
4. 反转峰/振荡峰

原因:此振动行为是因为不同功率下降到0以下
校正措施:设置更高的参比功率
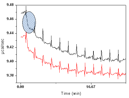
5. 基线刺
(i)陡峭尖

原因:(1)测量池里有气泡;(2)基线尖刺因注射而成卷积状
校正措施:(1)去除测量池中的气泡;(2)软件分析时放弃该数据点
(ii)加长噪声尖刺

原因:在较高实验温度是可能会发生
校正措施:小心制备样品避免溶解气,可阻止此情况发生
6. 低基线

原因:(1)样本池填充不够;(2)弄脏的测量池会使上样效果不佳;(3)测量池里有气泡
校正措施:(1)重新填充样本池,确保足够的样品量;(2)彻底清洗测量池;(3)去除测量池中的气泡
7. 异常峰

原因:测量池脏了
校正措施:对样品池进行彻底清洗

原因:两次注射之间的时间不够
校正措施:延长两次注射之间的时间